|
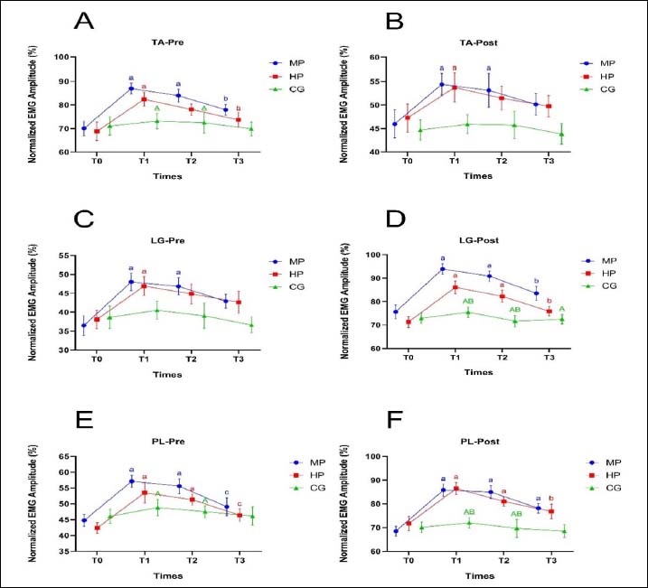
Figure 3.
Temporal changes in EMG amplitude (RMS) during pre- and post-activation phases of peri-ankle muscles at different pressures (A) Temporal changes of pre-activation of TA; (B) Temporal changes of post-activation of TA; (C) Temporal changes of pre-activation of LG; (D) Temporal changes of post-activation of LG; (E) Temporal changes of pre-activation of PL; (F) Temporal changes of post-activation of PL. Note: Lowercase letters indicate significant differences between time points: a, vs. baseline (T0), P < 0.05; b, vs. T1, P < 0.05; c, vs. T2, P < 0.05; d, vs. T3, P < 0.05. Uppercase letters indicate significant differences between groups at the same time point: A, vs. MP group, P < 0.05; B, vs. HP group, P < 0.05. MP, medium-pressure; HP, high-pressure; CG, control group; RMS, Root Mean Square; TA, tibialis anterior; LG, lateral gastrocnemius; PL, peroneus longus.
|