|
|
|
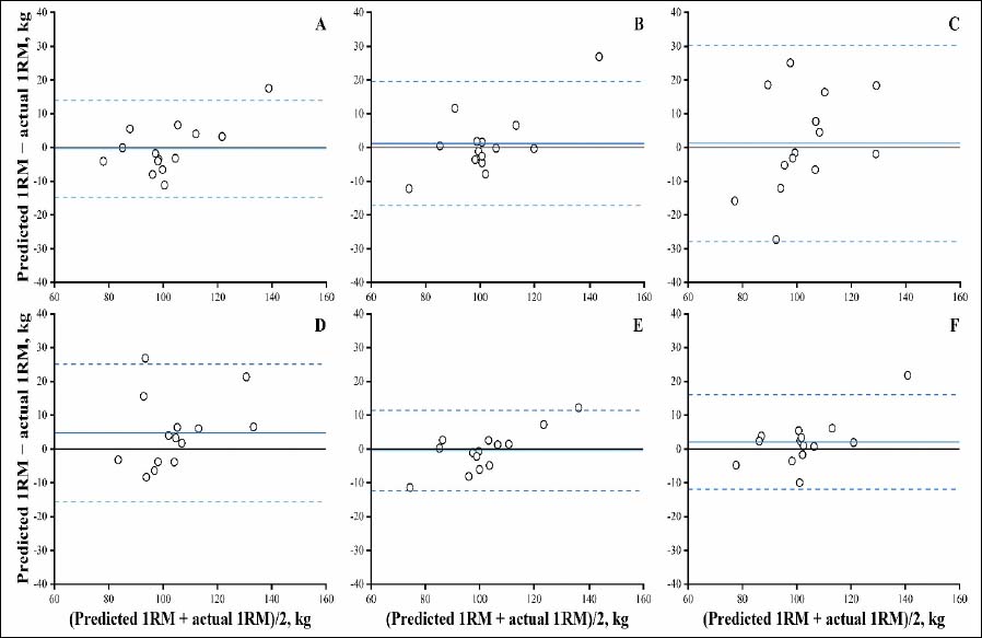
Figure 3.
Bland-Altman plots for actual minimal velocity threshold (MVT, A), optimal MVT (B), and relative load-peak velocity relationship using 50% (C), 70% (D), 80% (E), and 90% (F) of one-repetition maximum (1RM). The plots display data points, the zero line (black solid line), the systematic bias (blue solid line), and the random error (blue dashed lines).
|