|
|
|
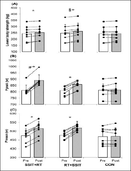
Figure 3.
Pre to post-intervention changes in the lower body strength, Ppeak and Pmean (mean ± SD). * Significant changes over the training period (p < 0.05). # Significantly greater changes than RT+SSIT group over the training period. § Significantly greater changes than SSIT+RT group over the training period
|