|
|
|
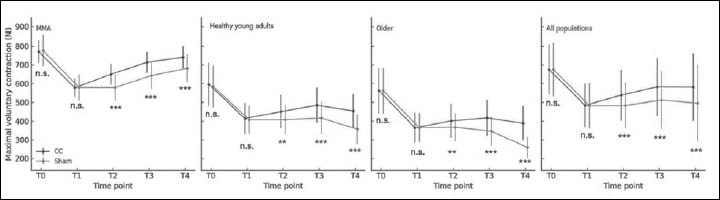
Figure 2.
Recovery of maximal voluntary contraction (MVC) across time points (T0 = baseline, T1 = post-fatigue, T2 = immediately after first intervention, T3 = 24 h, T4 = 48 h). CC: pneumatic cold compression. Between-conditions (CC vs. sham) differences per time point are indicated by asterisks (**p < 0.010; ***p < 0.001). n.s.: no significant. MMA, n = 40; young healthy adults, n = 20; Older, n = 20.
|