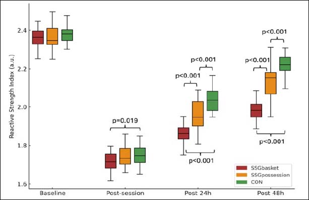
Figure 5. Reactive strength index (RSI) levels over the four different time points considering the conditions of small-sided with baskets (SSGbasket), in ball possession (SSGpossession) and control (CON). Lower RSI values indicate greater neuromuscular impairment (reduced jump performance).